- સમયના પરિવર્તન સાથે વસ્તુની કિંમત, રાષ્ટ્રીય આવક, પુરવઠો, ઉત્પાદન, રોજગારી, બેરોજગારી, આયાત–નિકાસ, જીવનનિર્વાહનો ખર્ચ, દેશની માનવવસ્તી, જન્મદર અને મૃત્યુદર વગેરેમાં સતત ફેરફારો થતા રહે છે.
- આવા ફેરફારોની જાણકારીથી ભવિષ્યનાં આયોજન યોગ્ય રીતે કરી શકાય છે.
- કોઇ ચલરાશિમાં બે ભિન્ન સમયે થતા ફેરફારો નીચેની રીત દ્વારા માપી શકાય છે :
(2) સાપેક્ષ માપ (ગુણોત્તર)ની રીત
સાપેક્ષ ફેરફાર :
કોઇપણ ચલરાશિના બે જુદા જુદા સમયના મૂલ્યમાં થતા ફેરફારના ગુણોત્તરને સાપેક્ષ ફેરફાર કહે છે. સાપેક્ષ ફેરફાર મુખ્યત્વે બે પ્રકારના હોય છે :
(1) ભાવ સાપેક્ષ
(2) જથ્થા સાપેક્ષ
ભાવ સાપેક્ષ :
કોઇપણ ચલરાશિના બે જુદા જુદા ભાવના મૂલ્યમાં થતા ફેરફારના ગુણોત્તરને ભાવ સાપેક્ષ કહે છે.
(1) ભાવ સાપેક્ષ
(2) જથ્થા સાપેક્ષ
ભાવ સાપેક્ષ :
કોઇપણ ચલરાશિના બે જુદા જુદા ભાવના મૂલ્યમાં થતા ફેરફારના ગુણોત્તરને ભાવ સાપેક્ષ કહે છે.
કોઇપણ ચલરાશિના બે જુદા જુદા જથ્થાના મૂલ્યમાં થતા ફેરફારના ગુણોત્તરને જથ્થા સાપેક્ષ કહે છે.
સૂચક આંક :
કોઇ ચલરાશિમાં થતાં સાપેક્ષ ફેરફારને ટકાવારીમાં દર્શાવતાં મળતા માપને તે ચલરાશિ માટેનો સૂચક આંક કહે છે. તેને સંકેતમાં I વડે દર્શાવવામાં આવે છે.
ભાવનો સૂચક આંક :
કોઇ વસ્તુના બે જુદા જુદા સમયના ભાવમાં થતા સાપેક્ષ ફેરફારને ટકાવારીમાં દર્શાવતા માપને સૂચક આંક કહે છે. જેમાં આધાર વર્ષ માટે અને ચાલુ વર્ષ માટે વડે દર્શાવવામાં આવે છે.
કોઇ ચલરાશિમાં થતાં સાપેક્ષ ફેરફારને ટકાવારીમાં દર્શાવતાં મળતા માપને તે ચલરાશિ માટેનો સૂચક આંક કહે છે. તેને સંકેતમાં I વડે દર્શાવવામાં આવે છે.
ભાવનો સૂચક આંક :
કોઇ વસ્તુના બે જુદા જુદા સમયના ભાવમાં થતા સાપેક્ષ ફેરફારને ટકાવારીમાં દર્શાવતા માપને સૂચક આંક કહે છે. જેમાં આધાર વર્ષ માટે અને ચાલુ વર્ષ માટે વડે દર્શાવવામાં આવે છે.
કોઇ વસ્તુના બે જુદા જુદા સમયના જથ્થામાં થતા સાપેક્ષ ફેરફારને ટકાવારીમાં દર્શાવતા માપને જથ્થાનો સૂચક આંક કહે છે. જેમાં આધાર વર્ષ માટે અને ચાલુ વર્ષ માટે વડે દર્શાવામાં આવે છે.
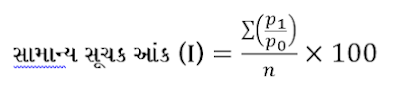
સામાન્ય સૂચક આંક :
કોઇપણ એક કે તેથી વધુ વસ્તુઓની આપેલ (ચાલુ) સમયની કિંમતોમાં કોઇ ચોક્કસ (આધાર) સમયની વસ્તુઓની કિંમતોના સાપેક્ષમાં થતા ટકાવારી ફેરફારની સરેરાશને સમૂહનો સામાન્ય સૂચક આંક કહે છે.
કોઇપણ એક કે તેથી વધુ વસ્તુઓની આપેલ (ચાલુ) સમયની કિંમતોમાં કોઇ ચોક્કસ (આધાર) સમયની વસ્તુઓની કિંમતોના સાપેક્ષમાં થતા ટકાવારી ફેરફારની સરેરાશને સમૂહનો સામાન્ય સૂચક આંક કહે છે.
નોંધ : ઉત્પાદન, આયાત, નિકાસ, બેરોજગારી, ઔદ્યોગિક પેદાશ જેવા સૂચક આંક ઉપરની સૂત્રથી મેળવી શકાય છે.
સૂચક આંકનાં લક્ષણો :
સૂચક આંકનાં લક્ષણો :
- તે સાપેક્ષ માપ હોવાથી એકમથી મુક્ત છે.
- તે તુલનાત્મક માપ છે.
- તે ટકાવારી ફેરફાર દર્શાવતું સાપેક્ષ માપ છે.
- તે સરેરાશના બધાં જ લક્ષણો ધરાવે છે. તેથી તે સરેરાશ માપ છે.
- તે એક ભારિત સરેરાશ માપ છે.
- બે ભિન્ન સમયની પરિસ્થિતિઓની ગુણોત્તર દ્વારા સરખામણી કરે છે.
સૂચક આંકના ઉપયોગો :
ભારતમાં પ્રસિદ્ધ થતા કેટલાક સૂચક આંકોના ઉપયોગો :
વ્યાપારી પરિસ્થિતિના સૂચક આંક :
દેશના ધંધા અને વેપારની આર્થિક અને વ્યાપારી પ્રવૃત્તિઓના અભ્યાસ માટે.
જથ્થાબંધ ભાવનો સૂચક આંક :
દેશની ભાવ સપાટીમાં થતા ફેરફારો દર્શવવા અને ફુગાવાને નિયંત્રણમાં રાખવા માટે.
જીવનનિર્વાહ ખર્ચનો સૂચક આંક :
નાણાંની ખરીદશક્તિ નક્કી કરવા, કર્મચારીઓના પગાર, મોંઘવારી ભથ્થાં, બોનસ અને વાસ્તવિક વેતનની ગણતરી કરવા માટે.
માનવવિકાસનો સૂચક આંક :
માનવવિકાસની કક્ષા, જીવનધોરણ, અપેક્ષિત આયુષ્ય અને શિક્ષણનું સ્તર નક્કી કરવા માટે.
રાષ્ટ્રીય આવકનો સૂચક આંક :
દેશની આર્થિક સ્થિતિના મૂલ્યાંકન માટે તેમજ પંચવર્ષીય યોજનાઓનાં લક્ષ્યાંકો નક્કી કરવા માટે.
ઔદ્યોગિક ઉત્પાદનનો સૂચક આંક :
ઔદ્યોગિક અને હુન્નર ક્ષેત્રે ઉત્પાદનમાં થતા ફેરફારોનો અભ્યાસ માટે.
કૃષિ–પેદાશનો સૂચક આંક :
કૃષિ–પેદાશના ભાવમાં થતા ફેરફારોનો અભ્યાસ કરવા માટે.
આયાત–નિકાસનો સૂચક આંક :
આયાત–નિકાસની નીતિ ઘડવા તેમજ વિદેશી હૂંડીયામણની જરૂરિયાત નક્કી કરવા માટે.
ધંધા–રોજગારનો સૂચક આંક :
આયાત–નિકાસની નીતિ ઘડવા તેમજ વિદેશી હૂંડીયામણની જરૂરિયાત નક્કી કરવા માટે.
મૂડીરોકાણનો સૂચક આંક :
શેર અને સ્ટોકમાં થતી વધઘટ અને રોકાણની ગતિશીલતાનો અભ્યાસ કરવા માટે.
કાચા માલનો સૂચક આંક :
કાચા માલની આયાત–નિકાસની શક્યતાઓનું મૂલ્યાંકન કરવા માટે.
● સૂચક આંકને દેશના અર્થતંત્રનું બેરોમિટર કહે છે.
● આધારવર્ષ :
● ચાલુ અથવા પ્રવર્તમાન વર્ષ :
વસ્તુના જે વર્ષના ભાવને તે વસ્તુના આધારવર્ષના ભાવ સાથે સરખાવવાના હોય તે વર્ષને ચાલુ અથવા પ્રવર્તમાન વર્ષ કહેવામાં આવે છે.
● આધારવર્ષની પસંદગી કરતી વખતે ધ્યાનમાં રાખવાની બાબતો :
● આધારવર્ષની પસંદગીની રીતો :
આધારવર્ષની પસંદગી બે રીતે કરી શકાય છે :
(1) અચલ અથવા સ્થિર આધારની રીત
(2) પરંપરિત આધારની રીત
● અચલ આધારની રીત :
વ્યાપારી પરિસ્થિતિના સૂચક આંક :
દેશના ધંધા અને વેપારની આર્થિક અને વ્યાપારી પ્રવૃત્તિઓના અભ્યાસ માટે.
જથ્થાબંધ ભાવનો સૂચક આંક :
દેશની ભાવ સપાટીમાં થતા ફેરફારો દર્શવવા અને ફુગાવાને નિયંત્રણમાં રાખવા માટે.
જીવનનિર્વાહ ખર્ચનો સૂચક આંક :
નાણાંની ખરીદશક્તિ નક્કી કરવા, કર્મચારીઓના પગાર, મોંઘવારી ભથ્થાં, બોનસ અને વાસ્તવિક વેતનની ગણતરી કરવા માટે.
માનવવિકાસનો સૂચક આંક :
માનવવિકાસની કક્ષા, જીવનધોરણ, અપેક્ષિત આયુષ્ય અને શિક્ષણનું સ્તર નક્કી કરવા માટે.
રાષ્ટ્રીય આવકનો સૂચક આંક :
દેશની આર્થિક સ્થિતિના મૂલ્યાંકન માટે તેમજ પંચવર્ષીય યોજનાઓનાં લક્ષ્યાંકો નક્કી કરવા માટે.
ઔદ્યોગિક ઉત્પાદનનો સૂચક આંક :
ઔદ્યોગિક અને હુન્નર ક્ષેત્રે ઉત્પાદનમાં થતા ફેરફારોનો અભ્યાસ માટે.
કૃષિ–પેદાશનો સૂચક આંક :
કૃષિ–પેદાશના ભાવમાં થતા ફેરફારોનો અભ્યાસ કરવા માટે.
આયાત–નિકાસનો સૂચક આંક :
આયાત–નિકાસની નીતિ ઘડવા તેમજ વિદેશી હૂંડીયામણની જરૂરિયાત નક્કી કરવા માટે.
ધંધા–રોજગારનો સૂચક આંક :
આયાત–નિકાસની નીતિ ઘડવા તેમજ વિદેશી હૂંડીયામણની જરૂરિયાત નક્કી કરવા માટે.
મૂડીરોકાણનો સૂચક આંક :
શેર અને સ્ટોકમાં થતી વધઘટ અને રોકાણની ગતિશીલતાનો અભ્યાસ કરવા માટે.
કાચા માલનો સૂચક આંક :
કાચા માલની આયાત–નિકાસની શક્યતાઓનું મૂલ્યાંકન કરવા માટે.
● સૂચક આંકને દેશના અર્થતંત્રનું બેરોમિટર કહે છે.
- જેમ બેરોમિટર હવામાન, હવાનું દબાણ, વાવાઝોડું અને વરસાદની આગાહી કરવામાં ઉપયોગી બને છે.
- તેમ સૂચક આંક દેશની સમગ્ર આર્થિક પ્રવૃત્તિ, વ્યાપારી અને સામાજિક પ્રવૃતિઓમાં થતા ફેરફારો માપવાનું તથા તેમનો તુલનાત્મક અભ્યાસ કરવાનું એક અગત્યનું સાધન છે.
- તેથી સૂચક આંક એ દેશના અર્થતંત્રનું બેરોમિટર કે દેશના અર્થતંત્રની પારાશીશી કહે છે.
● આધારવર્ષ :
- જ્યારે કોઇ વસ્તુના ભાવનાં થતા ફેરફારને ભૂતકાળના કોઇ નિશ્ચિત વર્ષના એ જ વસ્તુના ભાવ સાથે સરખાવવામાં આવે છે ત્યારે તે નિશ્ચિત વર્ષને આધારવર્ષ કહેવામાં આવે છે.
- આધારવર્ષ ભૂતકાળનું નિશ્ચિત વર્ષ, અગાઉનું વર્ષ અથવા તે પહેલાંનું વર્ષ હોઇ શકે.
● ચાલુ અથવા પ્રવર્તમાન વર્ષ :
વસ્તુના જે વર્ષના ભાવને તે વસ્તુના આધારવર્ષના ભાવ સાથે સરખાવવાના હોય તે વર્ષને ચાલુ અથવા પ્રવર્તમાન વર્ષ કહેવામાં આવે છે.
● આધારવર્ષની પસંદગી કરતી વખતે ધ્યાનમાં રાખવાની બાબતો :
- આધારવર્ષ પ્રામાણ્ય કે સામાન્ય વર્ષ હોવું જોઇએ.
- આધારવર્ષ કુદરતી (અતિવૃષ્ટિ, અનાવૃષ્ટિ, ધરતીકંપ) કે માનવસર્જિત આફતો (યુદ્ધ, બળવો, હુલ્લડ, હડતાલ–આંદોલન)થી અને રાજકીય ઉથલપાથલ કે આર્થિક તેજી–મંદીથી મુક્ત હોવું જોઇએ.
- આધારવર્ષ ભૂતકાળનું બહુ દૂરનું વર્ષન હોવું જોઇએ.
- જો અસામાન્ય પરિસ્થિતિવાળું વર્ષ ઉપલબ્ધ ન હોય, તો ભૂતકાળના અમુક વર્ષના ચલ મૂલ્યોની સરેરાશને આધારવર્ષના મૂલ્ય તરીકે લેવામાં આવે છે.
- આ રીતમાં પ્રત્યેક વર્ષે આધારવર્ષ સ્થિર રહે છે.
● આધારવર્ષની પસંદગીની રીતો :
આધારવર્ષની પસંદગી બે રીતે કરી શકાય છે :
(1) અચલ અથવા સ્થિર આધારની રીત
(2) પરંપરિત આધારની રીત
● અચલ આધારની રીત :
- આ રીતમાં સામાન્ય ઘટનાવાળા વર્ષને સ્થિર ગણી પ્રામાણ્ય વર્ષ કે આધારવર્ષ તરીકે લેવામાં આવે છે.
- આધારવર્ષની ચલ કિંમત સાથે વર્તમાન સમયની ચલ કિંમત સરખાવી સૂચક આંક મેળવવામાં આવે છે.
- અચલ આધારની રીતથી સૂચક આંક નીચેના સૂત્રથી મેળવવામાં આવે છે :







0 Comments